


摘要
本文上篇重点阐述半导体激光器的基本结构类型、应用特性及核心光电特性、调制特性,为后续激光器驱动电路及光模块核心电路设计提供器件理论支撑。
关键词
半导体激光器,光电特性,调制特性,阈值电流,斜效率
1. 引言
随着全球信息化的高速发展,人们的工作、学习和生活越来越离不开承载着大量信息的网络,对网络带宽的要求还在不断提高。光载波拥有无比巨大的通信容量,预计光通信的容量可以达到40Tb/s,并且和其他通信手段相比,具有无与伦比的优越性,未来有线传输一定会更多的采用光纤进行信息传递。
近几年以来,干线传输、城域网、接入网、以太网、局域网等越来越多的采用了光纤进行传输,光纤到路边FTTC、光纤到大楼FTTB、光纤到户FTTH、光纤到桌面FTTD正在不断的发展,光接点离我们越来越近。在每个光接点上,都需要一个光纤收发模块,模块的接收端用来将接收到的光信号转化为电信号,以便作进一步的处理和识别;模块的发射端将需要发送的高速电信号转化为光信号,并耦合到光纤中进行传输。发射端需要一个高速驱动电路和一个发射光器件,发射光器件主要有发光二极管(LED)和半导体激光器(LD)。LED和LD的驱动电路有很大的区别,常用的半导体激光器有FP、DFB和VCSEL三种。WTD光模块通常所用发射光器件为FP和DFB激光器。




2. 半导体激光器
半导体激光器作为常用的光发射器件,其体积小、高频响应好、调制效率高、调谐方便,且大部分激光器无需制冷,是光纤通信系统理想的光源。激光器有两种基本结构类型:
边缘发射激光器:有FP(Fabry-Perot)激光器和分布反馈式(DFB)激光器。FP激光器是应用最广的一种激光器,但是其噪声大,高频响应较慢,出光功率小,因此FP激光器多用于短距离光纤通信;而DFB激光器则具有较好的信噪比,更窄的光谱线宽,更高的工作速率,出光功率大,因此DFB激光器多用在长距离、高速率光传输网络中。
垂直腔面发射激光器(VCSEL):是近几年才成熟起来的新型商用激光器,有很高的调制效率和很低的制造成本,特别是短波长850nm的VCSEL,在短距离多模光纤传输系统中现在已经得到非常广泛的应用。
2.1 光电特性
半导体激光器是电流驱动发光器件,只有当激光器驱动电流在门限(阈值)电流以上时,半导体激光器二极管才能产生并持续保持连续的光功率输出。对于高速电流信号的切换操作,一般是将激光器二极管稍微偏置在门限(阈值)电流以上,以避免激光器二极管因开启和关闭所造成的响应时间延迟,从而影响激光器光输出特性。
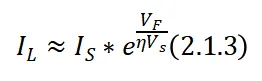
激光器光功率输出依赖于其驱动电流的幅度和将电流信号转换为光信号的效率(激光器斜效率)。激光器是一个温度敏感器件,其阈值电流
随温度的升高而增大,激光器的调制效率(单位调制电流下激光器的出光功率,量纲为mW/mA)随温度的升高而减小。同时激光器的阈值电流
还随器件的老化时间而变大。
激光器二极管的阈值电流和斜效率与激光器的结构、制作工艺、制造材料以及工作温度密切相关。




2.1.1 阈值电流与斜效率的温度特性
阈值电流
:定义为激光器发射激光的最小电流,
随着温度的升高呈现指数形式增大,函数表达式为:

其中,
和
是激光器特定常数。例如,DFB激光器

斜效率
(Slope efficiency):定义为激光器输出光功率与输入电流的比值,
随着温度的升高呈现指数形式减小,函数表达式为:

以DFB激光器为例,其典型温度
,其它两个激光器常数为
2.1.2 电压-电流特性
激光器工作(前向)电压
和激光器电流
之间的关系可用普通半导体二极管的电压-电流输入输出特性进行建模:

其中,
为二极管饱和电流,
为与温度有关的电压,η为结构常数。当驱动电流达到激光器二极管阈值电流附近或者以上时,激光器电压-电流关系近似于线性关系。




2.1.3 特性曲线分析

图2.1.1激光器电流,前向电压和光功率输出关系示意图
激光器电流、前向电压和光功率输出关系如图2.1.1所示,由图可知:
当
时,激光器正向(前向)电压
随
的增大急剧增大;
当
时,激光器正向(前向)电压
达到激光器能带隙电压
,激光器处于临界工作状态;
当
时,激光器工作在
曲线线性区,其正向(前向)电压
随
的增大缓慢增大;
当
时,
随
的增大急剧快速变小;
当
时,
随
的增大缓慢变小(在线性工作区激光器
一般为4~6ohms);
当
时,




2.1.4 等效电路模型
激光器二极管的简单模型如图2.1.2所示。在模型图中,直流偏置电压
是与激光器二极管能带隙电压相关联的电压,
代表二极管动态电阻,I代表流过激光器二极管的总电流。当驱动电流在门限值以上时,激光器二极管输出光功率
可表示为:


图2.1.2简化激光器二极管等效电路示意图
2.2 调制特性
半导体激光器是光纤通信的理想光源,但在高速脉冲调制下,其瞬态特性仍会出现许多复杂现象,如常见的电光延迟、张弛震荡和自脉动现象。这种特性严重限制系统传输速率和通信质量,因此在进行电路设计时要给予充分的考虑。
2.2.1 电光延迟和张弛震荡现象
半导体激光器在高速脉冲调制下,输出光脉冲瞬态响应波形如图2.2.1所示。输出光脉冲和注入电脉冲之间存在一个初始延迟时间,称为电光延迟时间
,其数量级一般为ns。当电流脉冲注入激光器后,输出光脉冲会出现幅度逐渐衰减的振幅,称为张弛震荡,其震荡频率
一般为0.5~2GHz。
这些特性与激光器有源区的电子自发复合寿命和谐振腔内光子寿命以及注入电流初始偏差量有关。

图2.2.1光脉冲瞬态响应波形




电光延迟和张弛震荡的后果是限制调制速率:
当最高调制频率接近张弛震荡频率时,波形产生严重失真,会使光接收机在抽样判决时增加误码率,因此实际使用的最高调制频率应低于张弛震荡频率;
电光延迟还会产生码形效应:当电光延迟时间
与数字调制的码元持续时间
为相同数量级时,会使“0”码过后的第一个“1”码的脉冲宽度变窄,幅度减小,严重时可能使单个“1”码丢失。

图2.2.2码型效应((a)、(b)码型效应波形;(c)改善后波形)
用适当的“过调制”补偿方法(对激光器进行预偏置从而减小电光延迟时间),可以消除码型效应。
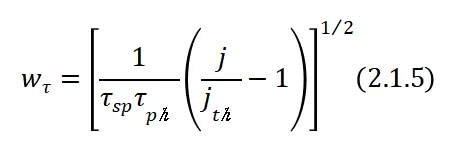
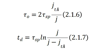
通过LD速率方程组的瞬态解得到的张弛振荡频率
及其幅度衰减时间
和电光延迟时间
的表达式为:


式中,
是张弛振荡幅度衰减到初始值的
的时间,j和
分别为注入电流密度和阈值电流密度,
和
分别为电子自发复合寿命和谐振腔内光子寿命。在典型的激光器中,
,即
。
由上述公式可得出:
张弛振荡频率
随
、
的减小而增加,随j的增加而增加,这个振荡频率决定了LD的最高调制频率;
张弛振荡幅度衰减时间
与
为相同数量级,并随j的增加而减小;
电光延迟时间
与
为相同数量级,并随j的增加而减小
。
因此,对LD施加直流偏置电流是非常必要的。




2.2.2 自脉动现象
某些激光器在脉冲调制甚至直流驱动下,当注入电流达到某个范围时,输出光脉冲出现持续等幅的高频震荡,这种现象称为自脉动现象,其原因是激光器内部元件非线性特性所引起的带外频率对自身进行调制而产生的自激震荡或者激光器在直流驱动下的寄生频率所产生的自激震荡。

如图2.2.3激光器自脉动现象
自脉动频率可以达到2GHz,严重影响激光器的高速调制特性。自脉动现象是激光器内部不均匀增益(主要针对电信号)或不均匀吸收(主要针对光信号)所产生的,往往和激光器的
曲线的非线性特性有关,自脉动发生的区域和
曲线扭折区域相对应。因此,通常对激光器进行
(功率-背光电流-前向电压)曲线测试时要求
(功率-偏置电流)曲线坑陷不超过10%,这一点在选择使用激光器时应特别注意。

